|
服務條件 |
委托方檢測設備需能正常運行,所使用的空氣壓縮機技術資料保存完整,新購置安裝的空氣壓縮機應具有礦用產品安全標志。
|
||||||||||||||||||||||||||||||||||||||||||||||||||||||||||||||||||||||||||||||||||||||||||||||||||||||||||||||||||||||||||||||||||||||||||||||||||||||
|
流程 |
1、依據 AQ2055-2016《金屬非金屬礦山在用空氣壓縮機安全檢驗規范 第1部分:固定式空氣壓縮機》 2 職責 2.1 檢測員嚴格按標準規定對在用設備進行檢測,忠實記錄檢測數據,確保原始記錄準確,然后根據檢測記錄出具檢驗報告。 2.2 質量監督員對檢測工作進行監督,保證結果準確。 2.3 檢測室主任對報告和檢測記錄進行核查,確認后簽字。 3 儀器設備 空壓機綜合參數測試儀、開口閃點測定器、數字轉速表、電子秒表、聲級計、振動測量儀。 4 檢測項目 按照標準規定進行檢測,具體遵循條款見下表:
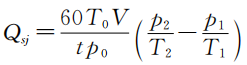
5 檢測方法 5.1機房或術室 采用目測方式,檢查空氣壓縮機的安裝位置、防護裝置、消防器材等是否符合標準要求。采用符合GB/T 3785.1規定的2級聲級計,測量值班機房內人員工作位置處噪聲,取3次測量結果的算術平均值作為檢驗結果。 5.2 潤滑系統 1、檢查受檢單位提供的潤滑油閃點的有效證明或直接進行檢驗,應符合標準5.2.1的要求。 2、 采用目測方式檢驗5 .2.2- 5 .2. 3規定的檢驗內容。 3、在被檢驗設備上人為制造模擬故障的條件下,檢驗潤滑油 壓力低于規定值時停車保護裝置或信 號顯示(報警)裝置的靈敏性,應檢驗3次,每次動作均應正確,應符合標準5 .2.4的要求。 4、在被檢驗設備上人為制造模擬故障的條件下,檢驗潤滑油超溫停車保護裝置是否有效,應檢驗 3次,每次動作均應正確,應符合5 .2. 5的要求。 5.3冷卻系統 1、對水冷式空氣壓縮機,用精確度不劣于士1 4的點溫計或接觸式測量儀器測量冷卻水出水溫 度。關閉冷卻水進水或在人為制造模擬故障的條件下,空氣壓縮機應能及時停車,應檢驗3次,每次動 作均應正確。對風冷式空氣壓縮機,目測檢查風冷系統工作情況。應符合5 .3.1的要求。 2、目測檢查活塞式空氣壓縮機的末級排氣口是否安裝有冷卻器,冷卻器出口是否安裝安全閥,應 符合標準5 . 3. 2的要求。 5.4 儲氣罐 1、采用目測方式檢驗標準5.4.1、5.4.3、5.4.4、5.4.5規定的檢驗內容,采用常規長度儀器測量標準5.4.2 規定的壓力釋放裝置和排氣管的管徑,釋壓裝置的釋放壓力可依據銘牌或其他相關資料確定。 2、用精確度不劣于士14的溫度測量儀表測量儲氣罐內溫度,當無法直接測量儲氣罐內溫度時,可 測量儲氣罐金屬外表溫度作為儲氣罐內溫度。在被檢驗設備上人為制造模擬故障的條件下,檢驗超溫 保護裝置和報警裝置是否有效,應檢驗3次,每次動作均應正確,應符合標準5.4.6的要求。 5.5 系統保護要求 1、采用目測方式檢驗標準5.5.1規定的檢驗內容。 2、調整空氣壓縮機的輸出排氣壓力或容積流量,用精確度不劣于士1.6%的壓力測量儀器,檢驗輸出排氣壓力,應符合5. 5.2.1的要求,5.5.2規定的其他要求采用目測方式進行檢驗。 3、在被檢驗設備上人為制造模擬故障的條件下,檢驗排氣超溫保護和報警裝置的靈敏性,應檢驗 3次,每次動作均應正確,應符合標準5.5.3的要求。對于只能由制造單位設定保護和報警參數的空氣壓縮機,應查驗其設定的保護和報警參數,可能時也應按上述要求進行驗證試驗。 5.6 曲軸箱油溫 用精確度不劣于士 1℃的點溫計或其他有效溫度測量儀器測量曲軸箱內的潤滑油溫度,應符合標準5.6的要求。當難以測量曲軸箱內的潤滑油溫度時,也可通過測量曲軸箱的表面溫度,取最大值作為曲軸箱 油溫檢驗結果。 5.7停車復位 在對標準5.5所要求的各保護裝置的功能有效性進行檢驗時,同時檢驗停車復位功能,應符合標準5.7的要求。 5.8運轉狀態 在所有項目檢驗期間,觀察空氣壓縮機運行時,各運動部件及其他部位是否存在異常響聲和振動, 應符合標準5 .8的要求。 5.9 振動 采用精度不低于5 %(數字顯示儀表的精度應不低于5 %士 5個字)的測量儀器,按照GB/T 7777 的規定進行檢驗和評價,應符合5 .9的要求。 5.10轉速 空氣壓縮機的轉速應用精確度不大于士 0.2%或士2 r/min的轉速測量儀器進行檢驗,在檢驗時, 應以大約相等的時間間隔讀出不少于3次的轉速值,計算其平均轉速作為檢驗結果,應符合標準5.10的要求。 5.11容積流量 1 、檢驗方法 標準狀態下的容積流量可按下列方法之一進行檢驗: ——按GB/T 1 5 487檢驗空氣壓縮機的容積流量; ——采用儲氣罐充填法(風包法)測量空氣壓縮機的容積流量; ——采用流量法測量空氣壓縮機的容積流量。 2、儲氣罐充填法(風包法)測量空氣壓縮機的容積流量 2.1 用充水法或直接測量的方法測量儲氣罐(風包)及相連管路的容積V。 2. 2 切斷所有用氣設備,在儲氣罐上安裝壓力測量儀器及兩支點溫計測量儲氣罐內氣體壓力和 溫度,測試前要檢查安全閥的工作情況,并檢查管道和容器是否漏氣。 2.3 儲氣罐充填法(風包法)測量空氣壓縮機的容積流量測量系統的布置示意圖如圖1所示# 測量時,把儲氣罐內的剩余氣體及油、水放凈,然后關閉閘門3,開動空氣壓縮機#當儲氣罐中空氣壓 力升至0.2 MPa?0.3 MPa時,開始用秒表計時,同時記錄儲氣罐中氣體的壓力P1溫度T1,當儲氣罐氣體達到測試壓力P2時,立即停止秒表和空氣壓縮機,并迅速記下壓力由P1升至P2溫的時間t。 2.4空氣壓縮機容積流量的計算方法如下: a)實際容積流量Qsj:
式中: QSJ——實際容積流量(m3/min); V ——儲氣罐容積(包括閘門3以前排氣管內的容積)(m3); p1、T1 ——測試開始時,風包內的絕對壓力(Pa)和絕對溫度(K); P2、T2——測試結束時,風包內的絕對壓力(Pa)和絕對溫度(K); P0、T0——空氣壓縮機吸氣狀態下空氣的壓力(Pa)和絕對溫度(K); t——測試開始到測試結束時的充氣時間(s)。 b)標準狀態下的容積流量Q:
式中: T20 ——標準狀態下的絕對溫度,T20=293K; p ——標準大氣壓,p = 1.0133×105 Pa; p0、T0 ——空氣壓縮機吸氣狀態下空氣的壓力(Pa)和絕對溫度(K)。
3、流量法測量空氣壓縮機的容積流量 3.1 流量法檢驗的條件 采用流量法測量空氣壓縮機的容積流量時,應符合下列條件: a)被檢測的空氣壓縮機的各密封處應無泄漏; b)調整壓力調節器,將空氣壓縮機末級的排氣壓力調整到額定值,再測試額定工況下的有關數據; c)管道直徑與測量傳感器直徑之比不小于10; d)測量點位置應選在離進氣口 5倍管徑以上的直線段; e)測量傳感器插入深度約為2/3半徑進行測量; f)測量儀器的精確度應達到下列要求: ——風速不劣于±2.5% ; ——溫度不劣于±1℃ ; ——壓力采用不劣于士2.5%的液體壓力計類測量儀器或不劣于3%的其他專用儀器 ——長度測量器具不劣于±1mm。 g)檢驗時,應同時記錄下列參數: ——空氣壓縮機進氣測量點管道內的風速、溫度和壓力參數; ——活塞式空氣壓縮機轉速; ——空氣壓縮機入口溫度、壓力。 3.2 實際容積流量Qsj 實際容積流量應按照下列方法測量: a)應至少測量6次,其平均值作為實際風速c的檢驗結果; b)實際容積流量按式(3)計算:
式中: QSJ( 實際容積流量(m3/min); d ——測量位置管道內徑(m); c ——測量得到的實際風速(m/s)。 c)標準狀態下的容積流量Q: 標準狀態下的容積流量Q按式(4)計算:
式中: Q——標準狀態下的容積流量(m3/min); P0——測量位置的進氣壓力(Pa); T20——標準狀態下的絕對溫度,T20 =293 K; p——標準大氣壓,p = 1.0133×105Pa ; T0——進氣量測量位置的絕對溫度(K); Qsj——實際容積流量(m3/min)。 5.12 輸入比功率 1、空氣壓縮機的輸入功率應采用測量系統精確度不劣于±2%的儀器檢驗。 2、應在空氣壓縮機運轉平穩時進行檢驗,并應靠近空氣壓縮機的輸入端進行檢驗。 3、在檢驗時,應以相等的時間間隔記錄不少于3組(次)測量值,計算其平均輸入功率作為檢驗結果。 4、按式(5)計算輸入比功率+:
式中: q ——輸入比功率[kW/(m3/min)]; P ——空氣壓縮機組的輸入功率(kW); Q ——空氣壓縮機實際容積流量(m3/min)。 5.13輸入電流 1、測量儀器的精確度應不劣于士2% # 2、應靠近電動機配電裝置的進線處進行測量# 3、在檢驗時,應以相等的時間間隔記錄不少于3次測量值,計算其平均輸入電流值作為檢驗結果。 6 判定規則 1、檢驗和判定機構 應由具備國家規定資質條件的檢測檢驗機構進行檢驗和判定。 2、綜合判定原則 2.1檢驗項目分為A類項目(關鍵項)、B類項目(重要項)和C類項目(一般項)3種類型,具體劃分見項目表1。 2.2出現以下情況之一時,檢驗結論綜合判定為不合格: A類項目中,出現1項或1項以上不合格; B類項目中,出現4項或4項以上不合格; C類項目中,出現7項或7項以上不合格; B類項目和C類項目的不合格項數之和大于或等于7項。
7 編發報告 7.1 編寫報告應持客觀、公正、實事求是的原則。 7.2 報告的內容 7.2.1 檢驗報告的內容包括進行檢測的地點、儀器狀態、檢測依據、根據檢測數據而得出的檢驗結論。 7.2.2 按標準檢測合格的儀器,發給檢驗報告;不合格的儀器發給檢測結果,并注明不合格項目。 7.3 檢驗報告按本公司《結果報告管理程序》批準、歸檔、簽章、發出;特別注意報告的批準必須由相關領域的授權簽字人簽字。 8 注意事項 8.1 檢驗報告的編制人和進行檢測的人員不能由同一人擔任。 8.2 本公司不能在檢驗報告中出現資質范圍外的項目、參數。 9 記錄 9.1 《檢測檢驗委托合同書》 9.2 《礦山在用固定式空氣壓縮機檢測原始記錄》 9.3 《檢驗報告發放登記表》 9.4 《檢驗報告》 |
||||||||||||||||||||||||||||||||||||||||||||||||||||||||||||||||||||||||||||||||||||||||||||||||||||||||||||||||||||||||||||||||||||||||||||||||||||||
|
時限 |
7天 |

........................................
·································
·································································
掃一掃,精彩關注
網站首頁
一鍵電話